Sinopsis Buku Smktun Pages 1 50 Text Version Anyflip
Ladap Sinopsis Buku 2019 Doc
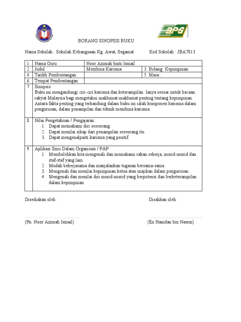
Borang Sinopsis Buku
Borang Sinopsis Buku4 Guru Pembimbing Murid
Book Review
Disahkan Oleh
Sinopsis Buku 1 M E P S Concept Betulkan Yang Biasa Biasakan Yang Betul
Sinopsis Buku 3 Kerja Bukan Kerana Pangkat
Contoh Book Review E Splg
Doc Borang Sinopsis Buku Syahizul Remeli Academia Edu
Doc Borang Sinopsis Buku Doc Marshida Mahmud Academia Edu
Ulasan Buku Motivasi Dalam Pendidikan Docx Pengarang Judul Buku Penerbit Tahun Diterbitkan Nombor Panggilan Pengulas Profesor Madya Dr Saedah Siraj Course Hero
50575415 Sinopsis Rekod Pembacaan Ldp
Sinopsis Buku Ldp
Doc Borang Sinopsis Buku Remy Mychemical Remmy Academia Edu
Sinopsis Buku Terkini Edisi Motivasi Waktu Solat Dot Net