Chapter 3 Heredity And Variation
Spm 2016 Tips Science Form 4 Chapter 3 Mitosis Is Facebook
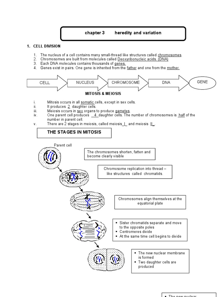
Science Form 4 Meiosis Mitosis
Form 4 Science Chapter 3 Fertilisation Sex
Science Spm Form 4 Chapter 3 Heredity And Variation Topical Test
Chapter 4 Reproduction Form 3 Science
Science Form 4 Chapter 3 Amp 5 Chlorine Carbon
Form4 Science Chapter 6 Nuclear Energy Note
Science Form 4 Chapter 5 Oxide Chemical Reactions
Science Kssm Form 3 Pages 51 100 Flip Pdf Download Fliphtml5
Chapter 4 The Reactivity Of Metals Lessons Tes Teach
Pdf Spm Form 4 Science Body Coordination Kelvin Ling Academia Edu
Science Form 3 Chapter 3 Excretion Pdf 19n0ejk0924v
Science Form 2 Chapter 2 Essay Avpdbk Pibokanla Info
Science Form 4 Chapter 3 3 6 3 7
Science Erde Und Weltraum Aktivitatenbuch Amazon De Kuche Haushalt
2